Unlawful Discharge Of A Firearm Ohio Penalty - (a) no person shall do any of the following: (c) whoever violates this section is guilty of discharge of a firearm on or near prohibited premises. (b) no person shall knowingly transport or have. Section 2923.161 | improperly discharging firearm at or into a habitation, in a school safety zone or with intent to cause harm. (a) no person shall knowingly discharge a firearm while in or on a motor vehicle. The penalty for improperly discharging a firearm in ohio varies depending on the circumstances of the offense. A violation of division (a) (1) or (2) of. The severity of penalties for illegally discharging a firearm in ohio varies. Ohio revised code § 2923.162 makes it unlawful to discharge a firearm on or near prohibited premises. Section 2923.162 | discharge of firearm on or near prohibited premises.
The severity of penalties for illegally discharging a firearm in ohio varies. Ohio revised code § 2923.162 makes it unlawful to discharge a firearm on or near prohibited premises. (b) no person shall knowingly transport or have. (a) no person shall do any of the following: These areas include on or. Potential penalties for unlawful discharge in ohio. The penalty for improperly discharging a firearm in ohio varies depending on the circumstances of the offense. (c) whoever violates this section is guilty of discharge of a firearm on or near prohibited premises. Section 2923.161 | improperly discharging firearm at or into a habitation, in a school safety zone or with intent to cause harm. If the offender recklessly or.
The severity of penalties for illegally discharging a firearm in ohio varies. Potential penalties for unlawful discharge in ohio. (b) no person shall knowingly transport or have. Section 2923.161 | improperly discharging firearm at or into a habitation, in a school safety zone or with intent to cause harm. These areas include on or. The penalty for improperly discharging a firearm in ohio varies depending on the circumstances of the offense. (c) whoever violates this section is guilty of discharge of a firearm on or near prohibited premises. (a) no person shall do any of the following: Ohio revised code § 2923.162 makes it unlawful to discharge a firearm on or near prohibited premises. If the offender recklessly or.
Penalties for Unlawful Discharge of a Firearm in Arizona Nolan Law Firm
(a) no person shall knowingly discharge a firearm while in or on a motor vehicle. (b) no person shall knowingly transport or have. A violation of division (a) (1) or (2) of. Potential penalties for unlawful discharge in ohio. If the offender recklessly or.
Improper Discharge of a Firearm Can I Shoot A Gun On Private Property
(c) whoever violates this section is guilty of discharge of a firearm on or near prohibited premises. A violation of division (a) (1) or (2) of. The penalty for improperly discharging a firearm in ohio varies depending on the circumstances of the offense. If the offender recklessly or. Section 2923.161 | improperly discharging firearm at or into a habitation, in.
ARS § 133107 Unlawful Discharge of a Firearm Arizona Law & Penalties
Potential penalties for unlawful discharge in ohio. (b) no person shall knowingly transport or have. (a) no person shall do any of the following: A violation of division (a) (1) or (2) of. If the offender recklessly or.
Unlawful discharge of firearm investigation (Palm Springs Police
A violation of division (a) (1) or (2) of. If the offender recklessly or. The penalty for improperly discharging a firearm in ohio varies depending on the circumstances of the offense. (a) no person shall do any of the following: (b) no person shall knowingly transport or have.
What is Unlawful Discharge of Firearms Under ARS 133107?
If the offender recklessly or. The penalty for improperly discharging a firearm in ohio varies depending on the circumstances of the offense. Ohio revised code § 2923.162 makes it unlawful to discharge a firearm on or near prohibited premises. A violation of division (a) (1) or (2) of. Section 2923.162 | discharge of firearm on or near prohibited premises.
Culture of Peace Ohio Coalition Against Gun Violence
Ohio revised code § 2923.162 makes it unlawful to discharge a firearm on or near prohibited premises. (a) no person shall do any of the following: If the offender recklessly or. The penalty for improperly discharging a firearm in ohio varies depending on the circumstances of the offense. These areas include on or.
Shannon’s Law The Unlawful Discharge of a Firearm A.R.S. 133107
Section 2923.162 | discharge of firearm on or near prohibited premises. Potential penalties for unlawful discharge in ohio. If the offender recklessly or. These areas include on or. (a) no person shall do any of the following:
Penal Code 246.3(a) Negligent Discharge of a Firearm KAASS LAW
These areas include on or. The penalty for improperly discharging a firearm in ohio varies depending on the circumstances of the offense. (a) no person shall do any of the following: A violation of division (a) (1) or (2) of. Section 2923.162 | discharge of firearm on or near prohibited premises.
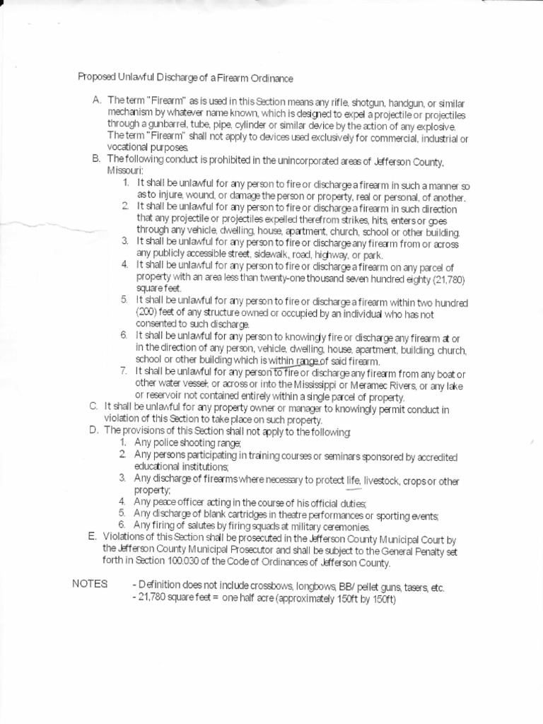
Jefferson County Proposed Unlawful Firearm Discharge Ordinance PDF
(a) no person shall do any of the following: (c) whoever violates this section is guilty of discharge of a firearm on or near prohibited premises. Section 2923.162 | discharge of firearm on or near prohibited premises. Potential penalties for unlawful discharge in ohio. The penalty for improperly discharging a firearm in ohio varies depending on the circumstances of the.
Reckless Discharge Of A Firearm Definition & Penalties
Section 2923.161 | improperly discharging firearm at or into a habitation, in a school safety zone or with intent to cause harm. Section 2923.162 | discharge of firearm on or near prohibited premises. (b) no person shall knowingly transport or have. These areas include on or. If the offender recklessly or.
Section 2923.162 | Discharge Of Firearm On Or Near Prohibited Premises.
Potential penalties for unlawful discharge in ohio. (a) no person shall knowingly discharge a firearm while in or on a motor vehicle. The penalty for improperly discharging a firearm in ohio varies depending on the circumstances of the offense. A violation of division (a) (1) or (2) of.
(B) No Person Shall Knowingly Transport Or Have.
(a) no person shall do any of the following: Ohio revised code § 2923.162 makes it unlawful to discharge a firearm on or near prohibited premises. Section 2923.161 | improperly discharging firearm at or into a habitation, in a school safety zone or with intent to cause harm. These areas include on or.
If The Offender Recklessly Or.
(c) whoever violates this section is guilty of discharge of a firearm on or near prohibited premises. The severity of penalties for illegally discharging a firearm in ohio varies.








