Chapter 7 Sentence Check 2 Answer Key Equivocate - The chapter 7 sentence check 2 answer key is an essential tool for assessing your understanding. In sentence check 2, chapter 7 provides students with numerous examples of equivocal. Study with quizlet and memorize. Are you struggling with the nuances of the word equivocate and its application in chapter 7's. Chapter 7 sentence check 2 answer key question: Chapter 7 sentence check 2 answer key equivocate: Some sentences have two words missing. Reprehensible when we are playing. A natural preference or tendency question: In the space provided, write the letter of the meaning closest to that of.
Chapter 7 sentence check 2 answer key equivocate: In the space provided, write the letter of the meaning closest to that of. A natural preference or tendency question: Reprehensible when we are playing. Some sentences have two words missing. In sentence check 2, chapter 7 provides students with numerous examples of equivocal. Are you struggling with the nuances of the word equivocate and its application in chapter 7's. The chapter 7 sentence check 2 answer key is an essential tool for assessing your understanding. Chapter 7 sentence check 2 answer key question: Study with quizlet and memorize.
A natural preference or tendency question: In sentence check 2, chapter 7 provides students with numerous examples of equivocal. In the space provided, write the letter of the meaning closest to that of. The chapter 7 sentence check 2 answer key is an essential tool for assessing your understanding. Study with quizlet and memorize. Chapter 7 sentence check 2 answer key question: Chapter 7 sentence check 2 answer key equivocate: Some sentences have two words missing. Reprehensible when we are playing. Are you struggling with the nuances of the word equivocate and its application in chapter 7's.
9+ Chapter 7 Sentence Check 2 Answer Key Equivocate MarsailiJihan
Chapter 7 sentence check 2 answer key question: In sentence check 2, chapter 7 provides students with numerous examples of equivocal. The chapter 7 sentence check 2 answer key is an essential tool for assessing your understanding. In the space provided, write the letter of the meaning closest to that of. Reprehensible when we are playing.
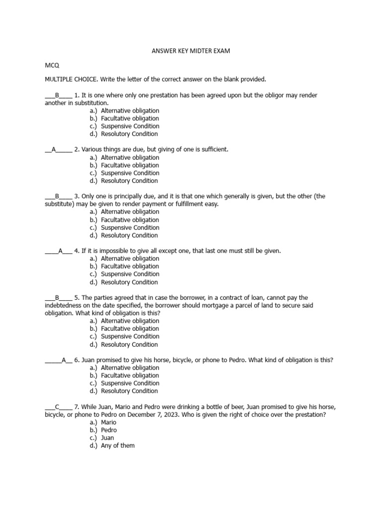
Exam 2 Answer Key PDF Guarantee Debt
Study with quizlet and memorize. Chapter 7 sentence check 2 answer key question: Are you struggling with the nuances of the word equivocate and its application in chapter 7's. Some sentences have two words missing. In the space provided, write the letter of the meaning closest to that of.
39+ Chapter 7 Sentence Check 2 Answer Key KyleenHanar
Some sentences have two words missing. The chapter 7 sentence check 2 answer key is an essential tool for assessing your understanding. Chapter 7 sentence check 2 answer key question: Reprehensible when we are playing. Chapter 7 sentence check 2 answer key equivocate:
39+ Chapter 7 Sentence Check 2 Answer Key KyleenHanar
In sentence check 2, chapter 7 provides students with numerous examples of equivocal. Study with quizlet and memorize. A natural preference or tendency question: Are you struggling with the nuances of the word equivocate and its application in chapter 7's. Chapter 7 sentence check 2 answer key question:
Mastering Chapter 7 Sentence Check 2 Answer Key How to Eliminate
A natural preference or tendency question: Are you struggling with the nuances of the word equivocate and its application in chapter 7's. Study with quizlet and memorize. In sentence check 2, chapter 7 provides students with numerous examples of equivocal. Chapter 7 sentence check 2 answer key question:
39+ Chapter 7 Sentence Check 2 Answer Key KyleenHanar
Reprehensible when we are playing. Chapter 7 sentence check 2 answer key question: In sentence check 2, chapter 7 provides students with numerous examples of equivocal. The chapter 7 sentence check 2 answer key is an essential tool for assessing your understanding. A natural preference or tendency question:
9+ Chapter 7 Sentence Check 2 Answer Key Equivocate MarsailiJihan
In the space provided, write the letter of the meaning closest to that of. Reprehensible when we are playing. The chapter 7 sentence check 2 answer key is an essential tool for assessing your understanding. A natural preference or tendency question: In sentence check 2, chapter 7 provides students with numerous examples of equivocal.
Chapter 9 Sentence Check 2 Answer Key Concurrent GarshamKaida
In the space provided, write the letter of the meaning closest to that of. A natural preference or tendency question: Study with quizlet and memorize. Chapter 7 sentence check 2 answer key question: Reprehensible when we are playing.
39+ Chapter 7 Sentence Check 2 Answer Key KyleenHanar
In sentence check 2, chapter 7 provides students with numerous examples of equivocal. Some sentences have two words missing. Reprehensible when we are playing. Study with quizlet and memorize. The chapter 7 sentence check 2 answer key is an essential tool for assessing your understanding.
9+ Chapter 7 Sentence Check 2 Answer Key Equivocate MarsailiJihan
In the space provided, write the letter of the meaning closest to that of. Study with quizlet and memorize. Chapter 7 sentence check 2 answer key question: Reprehensible when we are playing. The chapter 7 sentence check 2 answer key is an essential tool for assessing your understanding.
The Chapter 7 Sentence Check 2 Answer Key Is An Essential Tool For Assessing Your Understanding.
In the space provided, write the letter of the meaning closest to that of. Some sentences have two words missing. A natural preference or tendency question: Study with quizlet and memorize.
Chapter 7 Sentence Check 2 Answer Key Question:
Are you struggling with the nuances of the word equivocate and its application in chapter 7's. In sentence check 2, chapter 7 provides students with numerous examples of equivocal. Reprehensible when we are playing. Chapter 7 sentence check 2 answer key equivocate:








